英国·威廉希尔(WilliamHill)集团有限公司-官方网站
网站首页
关于我们
团队队伍
员工工作
威廉新闻
人才招聘
党建工会
旗下产业
研究生教育
科研工作
团队建设
实验室安全建设
研究生教育
通知公告
招生工作
培养工作
学位工作
文件下载
您现在的位置:
网站首页
>
研究生教育
>
通知公告
> 正文
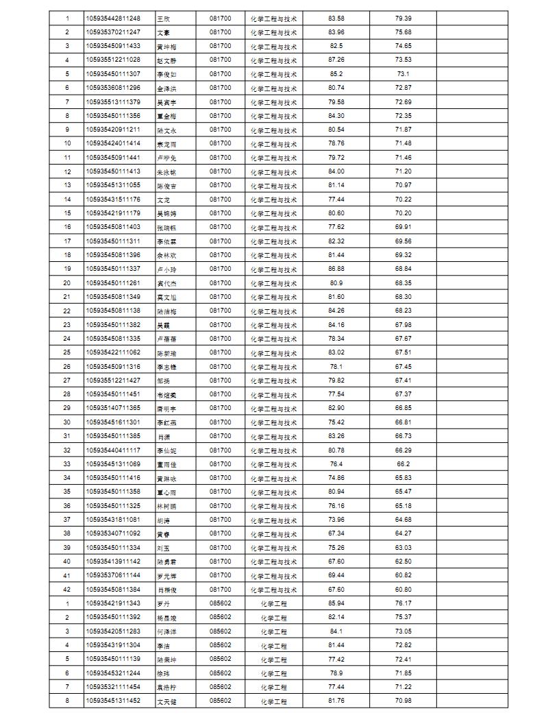
2025年硕士研究生招生一志愿复试成绩公示
2025-03-25 12:02
阅读:
来源:英国威廉集团官网
上一篇:2025年硕士研究生招生调剂拟复试名单公示
下一篇:2025年硕士研究生招生一志愿考生拟复试名单公示